Yasser Bahjatt's Blog
November 29, 2012
New Energy, Really?!!
Every where you look these days you find someone talking about energy. Some would clam to work on Green Energy, others call it renewable energy, and almost all of them call to think creatively when it comes to our energy options.
That all sounds pretty nifty and dandy, but to be honest, I think they are all wrong or not being honest.
Let me take them one at a time, let us start with the clam of green energy. Those who use that word imply that these energy sources are environmentally friendly an...
That all sounds pretty nifty and dandy, but to be honest, I think they are all wrong or not being honest.
Let me take them one at a time, let us start with the clam of green energy. Those who use that word imply that these energy sources are environmentally friendly an...
Published on November 29, 2012 04:15
November 23, 2012
Solving the Time Travel Paradox
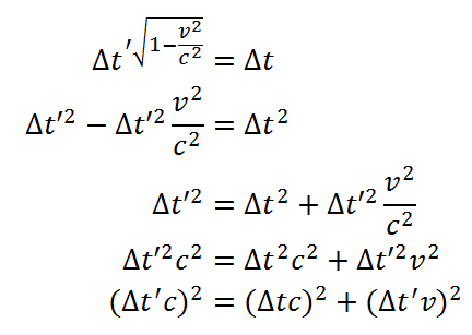
Time travel has always been my favorite SciFi topic. But it has inherently one main issue, the PARADOX.
A simple version of a paradox (to explain it to those of you who for some strange reason are still reading and yet do not know what a time paradox is) would be, say you travel back in time, and while you were driving around in the car you stole (shame on you), you have an accident and kill a kid, who turns out to be you!!!
Now, the problem is, if you just killed your self when you were a kid,...
A simple version of a paradox (to explain it to those of you who for some strange reason are still reading and yet do not know what a time paradox is) would be, say you travel back in time, and while you were driving around in the car you stole (shame on you), you have an accident and kill a kid, who turns out to be you!!!
Now, the problem is, if you just killed your self when you were a kid,...
Published on November 23, 2012 22:45
November 22, 2012
Its my life
Here is a thought, a strange one I am told
I will tell you what I think if I may be so bold
This is my life so my choices are my own
What I say, What I do, they reflect on me and me alone
I do not want to offend you, nor show disrespect
I just see things that you somehow neglect
This is my life so my feelings are my own
What I love, What I hate, this feeling in my bone
I have my calling and mark to leave
I am not boring, I got things to achieve
This is my life so my actions are my own
What I value, What...
I will tell you what I think if I may be so bold
This is my life so my choices are my own
What I say, What I do, they reflect on me and me alone
I do not want to offend you, nor show disrespect
I just see things that you somehow neglect
This is my life so my feelings are my own
What I love, What I hate, this feeling in my bone
I have my calling and mark to leave
I am not boring, I got things to achieve
This is my life so my actions are my own
What I value, What...
Published on November 22, 2012 03:56
January 31, 2012
No Fiction No Reality
Last week I went to GCF2012 in Riyadh, and to be totally honest I only enjoyed 3 things: the networking, the Saatchi and Saatchi presentation & the panel of SciFi writers.
And what most enjoyable to me was the opportunity I got to spend some quality time with some of best SciFi writers in the world (such as Catherine Asaro, Marl O'Green & Dr. Arlan Andrews) and got to discuss some very important fictional topics ;-)
The main topic that I was exploring is the effects of fiction and...
And what most enjoyable to me was the opportunity I got to spend some quality time with some of best SciFi writers in the world (such as Catherine Asaro, Marl O'Green & Dr. Arlan Andrews) and got to discuss some very important fictional topics ;-)
The main topic that I was exploring is the effects of fiction and...
Published on January 31, 2012 04:43
January 25, 2012
The Emergence of a new Species
What happened in Egypt has come to show that humans do evolve. Infact that just happened.
As a species, this generation is totally different than their parents. The way they think, communicate, take decisions, process information or even coordinate.
These two are so different that the mightiest of the parent species was unable to grasp even the basic concepts of the new child species.
The following is a comparison to show how apart these two are & why I think this is evolution:
- Social: The...
As a species, this generation is totally different than their parents. The way they think, communicate, take decisions, process information or even coordinate.
These two are so different that the mightiest of the parent species was unable to grasp even the basic concepts of the new child species.
The following is a comparison to show how apart these two are & why I think this is evolution:
- Social: The...
Published on January 25, 2012 17:26
January 16, 2012
Ctr+Alt+Del
For all of us technical PC users we just love Ctr+Alt+Del, it is such an amazing feature that should be in any operating system (maybe that is why I do not like Apple).
Ctr+Alt+Del allows you to just kill any application or operation you do not like OR even just wipe out your memory and restart the system fresh.
Ctr+Alt+Del comes so naturally that it is the first thing that comes to mind when faced with any real life issues.
Take for example Education, the system is just so tangled and resources...
Ctr+Alt+Del allows you to just kill any application or operation you do not like OR even just wipe out your memory and restart the system fresh.
Ctr+Alt+Del comes so naturally that it is the first thing that comes to mind when faced with any real life issues.
Take for example Education, the system is just so tangled and resources...
Published on January 16, 2012 12:00
My First Blog here
Some of you might already know me from my page on FaceBook and my blog there.
I will try on my blog here to present something different than what I am presenting on FaceBook.
My FaceBook page was and will remain as a much more personal nature than what I will be posting here.
Here I will try to show my wildly Unreasonable ideas to the point where it is Irrational to persist on perusing them any more.
The ideas I will talk about will cover a wide range of topics from Education, Religion, Science,...
I will try on my blog here to present something different than what I am presenting on FaceBook.
My FaceBook page was and will remain as a much more personal nature than what I will be posting here.
Here I will try to show my wildly Unreasonable ideas to the point where it is Irrational to persist on perusing them any more.
The ideas I will talk about will cover a wide range of topics from Education, Religion, Science,...
Published on January 16, 2012 04:47


