Gerald Posner's Blog
October 21, 2022
Subscribe Free to "Just the Facts with Gerald Posner" for exclusive news and commentary
For the past few months I have been quiet on Blogger since new stories and commentary is on my recently created Substack, "Just the Facts with Gerald Posner."
Similar to my approach for years on Blogger, I write about an eclectic collection of news and issues.
Just the Facts with Gerald Posner
Some of my recent stories, published exclusively on Substack, include:
why marijuana is a Schedule 1 drug the dark history of American medical schools and Jewish quotasa possible closing chapter in the case o...December 20, 2020
Gerald Posner On The Hill TV's Rising About How Opioid Billionaire Sacklers Skirt Accountability
“The question now is, will they [Sacklers] walk out of the bankruptcy court free from an litigation and if that happens, it would be a real travesty of justice....There’s a feeling among many of the victims’ families, those who have lost children to opioids and others, it’s not just about money but it is about accountability.”
Thanks to Krystal Ball and Saagar Enjeti for mak...
December 13, 2020
"I thought I understood the Sacklers' opioid empire. Startling documents I found showed I was wrong"
Originally published in STAT on March 10, 2020
What could possibly be new about the Sackler family, the billionaire owners of Purdue Pharma?
That was a question I asked myself in the late fall of 2015 as I began doing research for the book that would become Pharma. The project I had pitched to my publisher was a comprehensive history of the American pharmaceutical industry, starting with patent drugs and finishing with biotechnology breakthroughs. Covering the full breadth of the domestic...
December 1, 2020
How McKinsey helped Purdue Pharma sell OxyContin
October 21, 2020
Is the Department of Justice about to give Purdue Pharma and the Sackler family a 'Get Out of Jail Free' Pass?
The Wall Street Journal reported yesterday that the "The Justice Department is urging a bankruptcy judge to limit a creditor probe of OxyContin maker Purdue Pharma LP into the billions of dollars in profits collected by the Sackler family members who own the company."
The paper also reported that "Government investigations into Purdue are close to being resolved under a settlement that could be announced as soon as Wednesday."
Last week twenty-five state Attorneys General wrote to Attorney Genera...
September 10, 2020
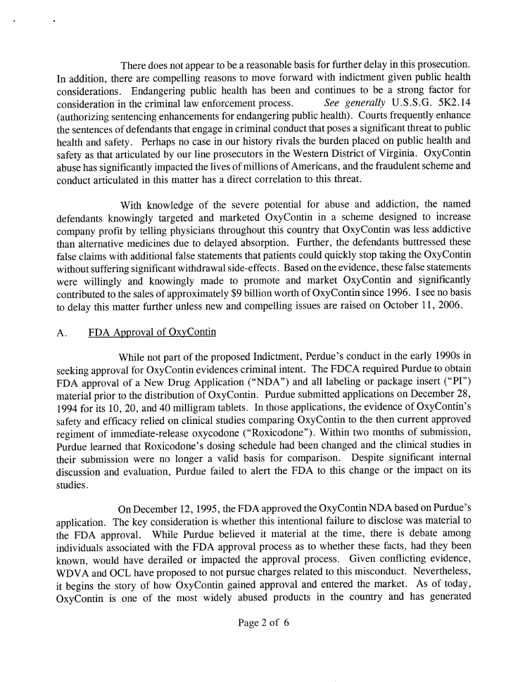
Department of Justice October 6, 2006 Memo recommending criminal charges against Purdue Pharma and top executives
August 19, 2020
JUST UNSEALED: 2006 Dept of Justice memo that recommended CRIMINAL charges against PURDUE PHARMA
In PHARMA, I wrote:
"Under Justice Department regulations, (U.S. Attorney) Brownlee’s superiors in Washington had to sign off on his case. He forwarded it to headquarters in 2006. The Criminal Division career prosecutors who reviewed it recommended the most serious charges. One reason for their confidence was a confidential Department of Justice memorandum prepared by Brownlee’s team that determined that senior Purdue executives were aware of OxyContin’s abuse problems within months of its 1996 ...
July 22, 2020
My NY Times OpEd - "The Sacklers Could Get Away With It"
The billionaire Sacklers who own Purdue Pharma, maker of the OxyContin painkiller that helped fuel America’s opioid epidemic, are among America’s richest families. And if they have their way, the federal court handling Purdue’s bankruptcy case will help them hold on to their wealth by releasing them from liability for the ravages caused by OxyContin.
The July 30 deadline for filing claims in Purdue’s bankruptcy proceedings potentially implicates not just claims against Purdue, but also claims aga...
June 21, 2020
Transcript of Gerald Posner/Tucker Carlson interview about a potential miscarriage of justice in opioid litigation
Transcript of interview with Gerald Posner, author of PHARMA: Greed, Lies and the Poisoning of America, on Tucker Carlson, Friday, June 19, 2020.
TUCKER CARLSON: Add to the long and growing list of real issues our leaders seem to care nothing about, the opioid epidemic over the last 20 years has taken the lives of hundreds of thousands of Americans, hundreds of thousands. It has killed far more than the coronavirus has or will, thanks to this year's lockdowns, 2020, could be the deadliest year ye...





