Abby Johnson's Blog
September 1, 2020
Abby Johnson Fires Back at Cosmo Writer Who Says Abortion Smells ‘Like Freedom’
Pro-life advocate Abby Johnson, a former executive for Planned Parenthood, made headlines when she said during the Republican National Convention last week that abortion has “a smell.” Almost immediately, she was met with intense backlash from the pro-abortion left, with one Comso writer mocking the Catholic activist’s claims.
Writer Danielle Campoamor wrote her abortion smelled like her nurse’s “perfume,” the “flowery fragrance” of her OB-GYN’s office, as well as “barbecued ribs and a glass of Maker’s Mark” and her “brand new studio apartment.”
“Of course you don’t remember how your abortion smelled, because you were sedated,” Johnson said in a video posted Monday to Instagram. “And you know why you were sedated? That was intentional, too. We sedated you so that you wouldn’t remember what your abortion smelled like. We sedated you so that you wouldn’t remember how bad it hurt when we killed your baby, when that powerful suction machine went into your uterus and sucked your baby out.”
May 13, 2019
‘Unplanned’ author Abby Johnson: ‘Look at what God has done’
LOUISVILLE, Ky. (BP) — Much has happened during the past decade in the life of Abby Johnson, the woman whose life story is the subject of the pro-life movie “Unplanned.”
It has been 10 years since she left Planned Parenthood. She celebrated Mother’s Day with her husband and seven children, and she is pregnant with No. 8. Thousands on Times Square and thousands more via a livestream watched a 4D ultrasound of her eighth baby still in the womb during last weekend’s “Alive in New York” pro-life event that was put on through Focus on the Family.
In an interview with Kentucky Today, Johnson called it a “surreal experience. I never thought I would be showing my unborn baby to the world like that. But I’m incredibly grateful to Focus on the Family and all the people that made it happen,” she said.
An estimated 20,000 came to celebrate in the streets of New York City.
April 23, 2019
Pro-life movement should follow Abby Johnson’s lead, turning abortion workers into allies
“Unplanned,” the recently released film adapted from Abby Johnson’s memoir of leaving Planned Parenthood and becoming a pro-life activist, is really just a prequel.
When Johnson quit her job in 2009, she could have lived off the notoriety of being a clinic manager who changed sides, telling her conversion story to pro-life audiences. Instead, she founded And Then There Were None (ATTWN) in 2011, a nonprofit that helps other abortion workers leave their jobs.
Johnson originally joined Planned Parenthood to help care for women and knows that clinics are full of workers just like her. At the time, she saved up stories of the unambiguous good she was doing (detecting uterine cancer, aiding women with postpartum depression), to defend her job to her pro-life family and husband.
March 29, 2019
Transcript: Abby Johnson SB9 Testimony – Kentucky
File: Abby Johnson Testimony for SB9 – Kentucky Duration: 0:08:57 Date: February 14, 2019 Speakers: Abby Johnson, Senator Matt Castlen.
Senator Castlen: This is Abby Johnson, and Abby, if you could introduce yourself for the record?
Abby: Sure, my name is Abby Johnson. I worked at Planned Parenthood for eight years. I was an abortion clinic director. I listened to the testimony from the opposition of this bill and I want to sort of go through some of that interesting testimony that we heard and many non-factual points that were made in that testimony. One thing that I kept hearing was that ‘there’s no exceptions in this bill for any sort of rape or incest’, but let me be clear—but even if they were, the ACLU wouldn’t support it. Even if there were, Planned Parenthood wouldn’t support this bill. So, the fact that they’re even bringing that up is intellectually dishonest. Abortion can never on its face be safe, because in order for an abortion to be deemed successful an individual and unique human being with a beating heart must die. That can never be safe for that individual human life.
I want to talk specifically about what a first trimester abortion is and what it looks like from a person who ran a Planned Parenthood abortion facility and was there for eight years. First trimester abortions are by and large the most common abortion procedure we see in the United States. A transvaginal ultrasound is standard procedure inside of every National Abortion Federation clinic which includes every Planned Parenthood. That transvaginal ultrasound is done for primarily one reason: to determine how far along a woman is in her pregnancy so that we knew how much to charge her for the abortion. After the ultrasound is performed, the ultrasound machine is rolled away. The doctor comes in, who, by the way, has no conversation with the woman before the abortion. The fact that many people say, ‘abortion should be a decision made between a woman and her doctor’ is laughable. There is never a time when the abortion doctor goes in, sits down with a woman and goes over risks, alternatives, and benefits to the abortion. It does not happen. The doctor starts performing the abortion. He’s going to insert into the woman’s uterus—into the cervix—metal dilation rods. Graduated metal dilation rods. He’s going to dilate the cervix enough so that he can insert something called a suction cannula. That cannula looks like a straw. It is graduated; it gets bigger depending on how big the baby is in the womb so that the head will be able to fit through that suction cannula. He’s going to insert that suction probe inside of the woman’s uterus. Ultrasound guidance is not used. That is not the standard protocol inside of National Abortion Federation or Planned Parenthood clinics. He’s going to take that probe and he’s going to blindly poke around inside the woman’s uterus until he thinks he has enough blood and tissue in a glass jar. That glass jar is going to go into a lab called the ‘POC lab’. ‘POC’ in the medical community stands for ‘Products of Conception’. The Products of Conception is, of course, the baby, but you can’t say ‘baby’ inside of the abortion clinic, so we said P. O. C. or POC, or if the staff was feeling funny we would say that it stood for ‘parts of children. After all the parts were accounted for, the POC lab technician would dump everything out into a glass baking dish that sat on top of an X-ray light box and she would reassemble the parts of the baby. Please understand me, I am talking about first trimester abortion. Yes, there are parts. Yes, they must be reassembled. The baby is fully-formed; every internal organ is formed by 12 weeks gestation. So, yes, there are parts, even earlier than 12 weeks. Once all the parts are reassembled, that POC tech will take everything, dump it into a red biohazard Ziploc sort of bag, and those bags will go into a freezer in the POC lab that the staff jokingly called ‘the nursery’. And once a week, a company, a biohazard medical waste company like Stericycle, will come into the facility and they will pick up all the red bags of babies where they are taken to their facility to be incinerated. That’s if the abortion facility decides they don’t want to just put them into their industrial-sized garbage disposal and grind them up and put them into the water waste treatment facilities. That is first trimester abortion.
We have already heard the testimonies from the opposition calling women who are pregnant ‘pregnant persons’, because now we live in a time where people say, “it is not just women who get pregnant.” Now, apparently, men can get pregnant. And that shows you just how detached from science the pro-choice side is on this issue. Fact: only women get pregnant. You’ve got to have lady parts to have a baby. That’s science. Science also tells us that from the moment of conception, unique and individual and unrepeatable DNA is formed. That DNA is human. Never in the history of the world has a woman ever delivered a cat or a dog, or any other species other than human. That’s science. Our history tells us, time and time again, that it is unjust to take the life of an innocent human being. It was unjust to dehumanize an entire segment of people when we were working to abolish slavery. It was unjust to dehumanize an entire group of Jewish people in the Holocaust. But those two examples that I just gave you only exist because our society was willing to turn a blind eye, look a human person in the face and say, “That is not a human being.” That is not scientific. There was a time when it was sort of innocent and it was our ignorance and we said, “Oh, it’s just a blob of tissue; it’s just a mass of cells.” But anybody with a brain and anybody with any sort of understanding of science, and anyone with any sort of intellectual honesty can say, “It’s not a clump of cells.” We know better than that. Ultrasound technology has been around since the early ‘80s. We know what it is. We know inside of the womb it is a human being with a beating heart. And it was ‘innocent’ back then because we really believed that, and so we could sort of let that go. Well, people didn’t know any better. Now, we are living in such depravity that there are people, like the people that oppose this bill that are willing to say, “I know it’s a human being; I know it has a heartbeat; I know there is life there; and I know it is innocent; and I am willing to kill it.” We have sunk to a new low in our society. And it is time for us to rectify what we have done. So, if you are a person in here who has had an abortion, I encourage you to seek healing, because abortion is not normal. Taking the life of an innocent human being that is your own flesh and blood and your own DNA—it’s not normal, and there are healing resources available. And to the people in here who work in the abortion industry, I encourage you to seek healing from a ministry called ‘And Then There Were None’. We can get you out of the industry and we can get you into a line of work that you can actually be proud of. And to the ACLU, I can say affirmatively we look forward to your lawsuit.
Senator Castlen: Mr. Chairman, I have one more individual from my community that’s going to come forward…
March 22, 2019
The Power of a Secret by Abby Johnson (Unplanned)
Had I never had an abortion—had I never personally bought into the thinking that if the “embryonic tissue” inside of me was simply removed, I could get on with my life and not be hindered by my “mistake”—how would I have responded to Jill’s well-crafted presentation designed to enlist college girls into the ranks of Planned Parenthood?
Excerpted from Unplanned: The Dramatic True Story of a Former Planned Parenthood Leader’s Eye-Opening Journey across the Life Line by Abby Johnson
The act was done. The “problem” gone. The process had been physically painful, but I had no regrets. No sadness. No struggle over whether what I’d done was right or wrong. Just a definite sense of relief: Whew. That’s behind me. I can get on with my life now.
I slammed that experience into a box, nailed it shut, stashed it on a shelf in a dark corner of my soul, and pretended it wasn’t there. Three days later I resumed my normal activities. I told no one, not a single friend or confidante. It was a secret that only Mark and I knew, but we never spoke of it again. Not once. Several months later, we married.
January 14, 2019
Abby Johnson worked at Planned Parenthood. Now she is a leader of the pro-life movement.
Abby Johnson , a former Planned Parenthood director who left her job after assisting in the abortion of a 13-week-old fetus, serves as CEO of the pro-life ministry “And Then There Were None.” In 2012 she left the Episcopalian faith to become a Catholic because her public pro-life stance was welcomed there. She has since worked as a pro-life activist and author.
Ms. Johnson is the subject of the upcoming movie “Unplanned,” which is based on her memoir of the same name. It chronicles her rise at Planned Parenthood from volunteer to clinic director as well as her own two abortions. The film is slated to open in theaters on March 22, 2019. On Dec. 11, I interviewed Ms. Johnson by telephone about her story and work. The following transcript of our conversation has been edited for style and length.
October 27, 2017
Whole Woman’s Health Exposed
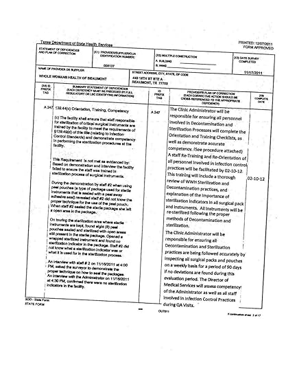
And Then There Were None, a group founded by former Planned Parenthood clinic director Abby Johnson helping abortion industry employees leave their jobs, obtained detailed inspection reports revealing dozens of health code violations levied against Whole Woman’s Health, which is currently operating 4 abortion facilities in Texas.
Whole Woman’s Health is a chain of abortion facilities with most locations stationed in Texas, with other clinics also located in Maryland, Minnesota, and Illinois. Whole Woman’s Health went to court as the plaintiff in the 2016 Supreme Court case Whole Woman’s Health v. Hellerstedt.
Whole Woman’s Health won their case. Their win, consequently, resulted in reversing and remanding the laws in Texas that would have required abortion facilities to meet common health and safety standards, for abortionists to have admitting privileges to a hospital within 30 miles of the facility, and for abortion clinics to have readily available facilities that are equivalent to an ambulatory surgical center.
“As is common in the abortion industry, making a hefty profit is the bottom line and must be achieved over anything else, including the health and safety of patients,” said Abby Johnson, “The reports we obtained show a blatant disregard for women’s health and safety as well as the safety of the abortion workers themselves, on the part of Whole Woman’s Health. Women deserve this information.”
Before the Supreme Court decided in favor of Whole Woman’s Health, the abortion facility in Austin was closed and was put up for sale. Abby Johnson toured that facility as a prospective buyer, snapping photos of what appears to be blood on the walls and dirty equipment.
“I was appalled at the state of the Austin Whole Woman’s Health,” said Ms. Johnson, “It looked more like a prison than an actual facility where patients went for healthcare. Disgusting does not do it justice.”
Listed below are some examples of the various health violations discovered at Whole Woman’s Health facility centers from 2011-2017, according to inspection reports:
· Failed to properly disinfect and sterilize instruments that were used from woman to woman
· Failed to provide a safe and sanitary environment – products of conception were being examined and contaminated instruments were being washed in the same room
· Emergency cart contained expired supplies and medications
· Cracks, rips, and tears on the vinyl covers of exam tables
· There was a hole in the cabinet flooring that had “the likelihood to allow rodents to enter the facility”
· Suction machines had numerous rusty spots having the “likelihood to cause infection”
“No wonder Whole Woman’s Health took their case all the way to the Supreme Court. They needed to win in order to keep their doors open and make money. They had everything to lose if they didn’t win,” said Ms. Johnson.
To speak to Abby Johnson at And Then There Were None, please contact Kristina Hernandez at 908-902-8473.
[image error]
[image error]
[image error]
[image error]
[image error]
[image error]
[image error]
[image error]
[image error]
[image error]
[image error]
[image error]
[image error]
[image error]
[image error]
[image error]
[image error]
[image error]
[image error]
[image error]
[image error]
[image error]
[image error]
[image error]
[image error]
[image error]
[image error]
[image error]
[image error]
[image error]
September 11, 2017
ATTWN Billboard Campaign
COLORADO SPRINGS, CO (SEPTEMBER 11, 2017) – Billboards have been placed in three locations in Colorado Springs, Colorado urging people who work in the abortion industry to quit their jobs.
The locations of the billboards are at 1000 W Fillmore St. and 311 W Colorado Ave. The billboards will run over the course of one month, from now until early October, and are expected to reach about 532,000 people in the vicinity.
“Entering into the Colorado Springs market is a key component of our strategy of reaching as many abortion workers as possible with our message that we are there for them and can help them when they want to leave their jobs,” said Abby Johnson, a former Planned Parenthood director who now runs And Then There Were None (ATTWN).
According to the Guttmacher Institute, there were about 13,160 abortions in 2014. Additionally, late-term abortionist Warren Hern is based in Colorado, as is Planned Parenthood of the Rocky Mountains, the second largest Planned Parenthood affiliate nationally.
The billboards read “NO ONE GROWS UP WANTING TO WORK IN AN ABORTION CLINIC. WE CAN GET YOU OUT. WWW.ABORTIONWORKER.COM”
ATTWN is a Texas-based nonprofit that launched in 2013 working with people across the United States. The organization’s mission is to end abortion from the inside out, helping abortion workers quit their jobs, and even provides them with career counseling, financial help, spiritual direction, and psychological aid. From the beginning of ATTWN’s, over 375 abortion workers have quit their jobs in the abortion industry. All services provided by ATTWN are free of charge.
“We are excited about the prospect of reaching more abortion workers than ever with our new billboards in Colorado Springs,” said Johnson. “I never wanted to work in an abortion clinic when I was growing up – and neither did many of our former abortion workers. We all thought it would be different, that we would be helping people, but it was the complete opposite – we were hurting far too many women who came through our doors.”
“We will be there every step of the way for abortion workers who want to quit. We love quitters,” said Johnson. For more information, please see www.abortionworker.com.
To speak with Abby Johnson, please contact Kristina Hernandez at 908-902-8473.

[image error]
March 16, 2015
A Comprehensive Look at Contraception
I wrote a series of articles about contraception that I would encourage all of you to read. They may challenge you…I hope they do. Prolifers need to know that contraception is NOT okay. You can NOT say that you believe that life begins at conception and then support the use of hormonal methods. You can read more here. https://www.lifesitenews.com/blogs/al...
This article talks about how we have been sold that in order to “fix” our reproductive problems such as endometriosis, PCOS and other thing…but they actually only break us. They don’t fix anything. https://www.lifesitenews.com/blogs/la...
This article talks about the physical side effects from birth control…and they can be deadly. https://www.lifesitenews.com/blogs/ho...
Many times, we hear that contraception reduces abortion. But this actually shows otherwise. https://www.lifesitenews.com/blogs/te...
March 13, 2015
How to Get Hired at Planned Parenthood. For Real.
Recently, Cosmopolitan Magazine, otherwise known as Planned Parenthood’s pimps, published yet another article promoting Planned Parenthood. This time, they interviewed a human resources manager. The reason? To give people advice on how to get hired at a Planned Parenthood facility.
My first thought was, “Wow. This is pathetic.” My second thought was, “Wow. They must be desperate for employees.”
I worked for a Planned Parenthood facility for eight years. I was the clinic director, so I was also responsible for hiring and firing employees. Human resource work was a daily part of my job.
This Cosmopolitan article was written in a Q&A format. I found some of Planned Parenthood’s answers to be a little less than honest. So, since I worked for Planned Parenthood for so long and ran the inside of their abortion and family planning clinics I thought I would offer more thorough and honest answers to people who may be seeking employment with the organization.
First, you should know that Planned Parenthood is the largest abortion provider in the United States alone, not to mention they have established other Planned Parenthood locations across the globe. This means that they are deliberately taking the lives of more people than any other entity in our country and in others across the globe. They say that it takes a certain amount of “passion” to work inside their organization, but really it only takes willful ignorance and the ability to pretend that you are helping women by killing their children.
Now for the questions.
1. What qualities do you look for in every candidate?
Planned Parenthood is looking for vulnerable people, primarily women, to work for them. They REALLY love single moms because they are desperate to put food on the table in order to make ends meet. This category of prospective candidate is typically willing to do almost anything to take care of their children, even if it means compromising their own morals.
Planned Parenthood is also interested in finding people that will stay long term with their organization because let’s be honest, former Planned Parenthood employees are incredibly willing to reveal all of the organizations corrupt practices, and that is REALLY annoying for them.
All this Planned Parenthood is interested in is finding timid people who will keep their mouths closed about the dirty things they witness there. Timidity is also important because if you do ever decide to leave, they will send a really threatening letter to your home stating that they will take you to court if you ever talk about what you have seen since working with their organization. They need that letter in order to scare you into being silent.
2. How often do you hire new people?
Planned Parenthood has one of the highest turnover rates in this country. So, the answer to that question is basically all of the time. People are constantly coming and going like a revolving door. You might be hired at a clinic, but after the first six months you could end up working with an entirely different group of people. So, I hope you’re not looking to get into this job to make friends. As soon as you get to know someone, they will leave. It’s a challenge to retain people when your job is to kill babies for a living.
3. What do you expect candidates to know about the company before an interview?
Honestly, you don’t have to know anything and you’re definitely not expected to know anything. They are so desperate for employees that they will usually just hire you right there on the spot. They can’t really take the risk being too picky anyway with their high turnover rates.
4. Where do you recruit candidates?
Planned Parenthood, being the bottom feeders they are, thrive off of vulnerable women. They usually do the majority of their recruiting from college campuses. If they can convince you to drop out of college and work for them full-time, then that is even better because you don’t actually need any type of degree to work for Planned Parenthood anyway (we will get to that in a minute). They also do a lot of recruiting in poor neighborhoods. Earlier I mentioned that they really like preying on single moms. They post bright colored ads in laundromats, community centers, WIC offices, Medicaid offices, etc. Wherever vulnerable women go, so too is where Planned Parenthood will be to try to sniff them out.
5. How do you use social media for recruiting potential employees?
They don’t. They only use social media to promote their false agenda and of course to promote all of these other groups that love abortion as much as they do. They won’t talk about abortion at all on social media. It’s all part of their game. It would be bad news for them if their followers decided to wake up and realize that Planned Parenthood is really only interested in pushing and selling abortion. Instead, they post about benign topics such as obtaining tax funded birth control or getting tested for STDs. But remember, according to Planned Parenthood’s booklet, “Healthy, Happy and Hot”. If you have an STD, even HIV, you totally don’t have to concern yourself with disclosing your status to anyone you plan to have sex with (See page 3).
6. What types of jobs are available for recent graduates?
Don’t worry, there are plenty of jobs to choose from. Let’s see, you could be trained by them on how to normalize abortion to women who come in for “options counseling.” You could be trained to become a POC (products of conception) technician, which consists of piecing the parts of aborted babies back together to ensure women don’t get a fatal infection.
You could also be trained on billing Medicaid for fraudulent charges and other federal and state programs. You can definitely be taught how to sell abortion better than a slick-haired used car salesman can sell you a clunker. You’ll even learn all of the fun lingo that comes with working in an abortion clinic. For example, the staff always jokes that POC stands for “parts of children” and the freezer where we stored all of the dead babies was called “the nursery.”
You will even be shown the way to completely dodge the risks of abortion, stating that they don’t want to “scare women” by revealing all of the facts to them. You will also be taught how to conveniently fail to mention all of the side effects from the hormonal birth control that they shove down their patient’s throat. They can train you the way to insert an IUD on their patients to cause an early abortion.
You can even learn from them how to fudge your inspection logs because it would cause a mess for them if the inspectors discovered that they’re not actually sterilizing the instruments properly. You could be trained by them on how to go into the schools and teach kindergarteners graphic sexual positions using stuffed animals. You could even have them train you on how to perform medical procedures that is pretty illegal for you to be performing without a license.
I mean, the list is endless. If you want to learn how to completely disrespect the intelligence and integrity of women then Planned Parenthood is the place for you!
7. Do you have an internship program?
Oh, yes. In fact, their internship programs are very important to Planned Parenthood. It’s the best way to brainwash young and vulnerable women into becoming robots for the cause of “reproductive health.” You only want to show interns a good time by feeding them pizza, taking them on bus trips that include tons of liquor, give them talking points so they can repeat them over and over again like a parrot, give them TONS of hot pink t-shirts (because let’s be honest, every gal loves hot pink), dress them up all professional-like and send them to the Capitol where they will walk around all day and do nothing (then you have to convince them that they just saved women’s rights), and finally, have them make up snazzy pro-choice chants, like “Hey, hey, mister, mister, Get your laws off my sister!”
But, let’s not show them the “real” Planned Parenthood and what they are really all about. They need these interns to see how “fun” Planned Parenthood is so they can share the good news and hot pink t-shirts with their friends!
8. Do most full-time positions require a specific degree?
No, of course not. This is Planned Parenthood, not some medical clinic. Oh, wait… it is a medical clinic. Well, they don’t concern themselves with the logistics pertaining to that. Licenses, certifications, and degrees only get in the way anyway. Not to mention that those kinds of people require more money and that is really inconvenient for their bottom line.
So, no. No degree needed to work at a Planned Parenthood facility. So, if you’re interested in performing ultrasounds on women, not a problem! You don’t even have to have a high school diploma to do that! They will provide some on the job training (that lasts about an hour) and then you’re all set to perform transvaginal ultrasounds on women who come in.
Do you want to draw blood? No certificate needed! Planned Parenthood is all about cutting out the middle-man regarding “health care”. You can just practice on your co-workers until you feel like you are “good enough” at sticking people.
Want to take on that highly regarded position of POC technician? Well, you will have to earn that. Not just anyone can piece baby parts back together. But, don’t worry because Planned Parenthood has more options for you like if you’re interested in working in the recovery room where you will listen to women sob after their abortion is complete. You definitely don’t need any sort of education.
Just keep your sight set on no one starting to hemorrhage or anyone that has a serious medical complication since you unqualified to be providing medical care. I’m sure they will eventually hear you screaming for a doctor once they turn the suction machine off, but whatever you do, just remember that you don’t call 911 at Planned Parenthood. That would be really bad press, especially with all of those anti-choice protestors outside. The abortion industry can’t have people thinking that abortion may actually be dangerous for women.
9. What types of questions do you typically ask in an interview?
They will ask how much you know about Planned Parenthood. They love it when people don’t know much about their organization. That gives them the opportunity to give you the information they want you to hear.
Basically, if you had enough coherency to show up to the interview and fill out the application by yourself, then the job is yours. No resume needed or experience needed. Heck, you can even say that you are prolife. They will still hire you with the promise that you won’t ever have to work “in the back,” but eventually they will break that promise once they see that you are more comfortable with abortion.
10. Is it okay to bring up salary?
Absolutely! Planned Parenthood has TONS of money, so make sure you aim high because killing babies for money brings in a huge profit; over half a billion dollars a year, to be more accurate. The other half a billion dollars they bring in comes from your tax money anyway! It’s totally acceptable to ask for some of that back in your hourly wage.
There’s also some other perks that they might not mention during the interview. If you happen to find yourself pregnant while working at Planned Parenthood, you can get a free abortion. That’s a savings of at least $400.
If you find out that you have contracted genital herpes, no worries. You can just illegally grab some pills from their back stash of medication. Don’t stress, everybody’s doing it. If they really didn’t want you to take it, they would lock up their meds like they are supposed to.
If they try to low ball you, just remind them that you know how much money they bring in every year. And, you can also let them know that Abby Johnson informed you about their $22 million dollar endowment that is just so happens to be sitting in the bank gaining more than a half a million dollars in interest every year. You can also let them know that a little birdy (named Abby Johnson) told you that Warren Buffet gives them over $23 million dollars a year to provide abortion services. It’s a great way to show them that you’re no dummy and they aren’t going to pull the wool over your eyes.
11. What’s a mistake people make in interviews all the time and don’t know it?
The biggest mistake you, or anyone you know, can make is showing up. This is NOT a place where you want to work. Unfortunately, it took me eight years to figure that out., but you can be smarter than me. You can decide that Planned Parenthood is a corrupt and disgusting organization that doesn’t deserve you before you even walk through their doors.
No one grows up wanting to work in the abortion industry. And, no matter how many pap smears they perform, the lives of the more than 327,000 innocent children that they killed only in the last year can never be replaced. The amount of people that have died at the hands of Planned Parenthood doesn’t even include the women they allow to die on their abortion tables. You deserve better than Planned Parenthood. You deserve better than abortion.
If you’re currently working in the abortion industry and want to leave, then please visit my website AbortionWorker. We can, and we will, help you leave.
Abby Johnson's Blog
- Abby Johnson's profile
- 168 followers

