Matt > Recent Status Updates

Showing 1-30 of 1,740
Matt
Matt added a status update
Off into Hiatus.
Meet you further on up the road...


Oct 05, 2020 09:04AM 1 comment

Matt
Matt added a status update
Is it just me or are other users exeperiencing problems with notifications and emails from GR? I haven't received any of those for the last 24 hours or so.
Oct 04, 2020 05:58AM 8 comments

Matt
Matt is on page 54 of 168 of Arno Schmidt lesen! Orientierungshilfe für Erstleser und Wegweiser im Literaturdschungel
Schmidt geht es [...] andererseits darum, als sokrasankt[sic!] geltende Klassiker zurechtzustutzen [...]

Na na. Da hat wohl jemand die Wechstaben verbuchselt.
Sep 30, 2020 05:29AM 4 comments
Arno Schmidt lesen! Orientierungshilfe für Erstleser und Wegweiser im Literaturdschungel

Matt
Matt is 9% done with Bis wieder einer weint
Im Vorraum des Gemeindehauses ist es klamm und das ganze Jahr über kühl. […] Der immer gleiche Geruch von Leichenschmaus – dünner Filterkaffee mit Leberwurstbrötchen und Streuselkuchen auf Margarinebasis – hängt in der Luft.

Lässt sich gut an, zumal ich den Ort der Handlung aus meiner Jugend in Erinnerung habe, und sogar die Verfasserin, als sie noch ein Kind war, mal kennengelernt habe.
Sep 23, 2020 10:46AM Add a comment
Bis wieder einer weint

Matt
Matt is 10% done with The Black Echo (Harry Bosch, #1; Harry Bosch Universe, #1)
Bosch pulled a chair on casters away from a desk and pushed it in front of the IBM PC sitting on a table against the rear wall. He hit the switch and in a few moments the amber-colored letters appeared on the screen: ....
Ah. The nostalgia!
.... ‘Homicide Information Tracking Management Automated Network.’
Oh. The acronym!
Sep 10, 2020 07:17AM 7 comments
The Black Echo (Harry Bosch, #1; Harry Bosch Universe, #1)

Matt
Matt is 31% done with Die Henkerstochter und der Fluch der Pest (Die Henkertochter, #8)
»Ich sage dir, das war der Rattenkönig, der Herr der Ratten! Er bringt die Pest über Kaufbeuren!«

Und mit so etwas müssen sich die Kuisls nun auch noch herumschlagen. Ekelig, oder?

Aug 27, 2020 05:01AM 5 comments
Die Henkerstochter und der Fluch der Pest (Die Henkertochter, #8)

Matt
Matt is 22% done with Die Henkerstochter und der Fluch der Pest (Die Henkertochter, #8)
Die Metzger unten an der Fleischbank hatten ihre Läden geöffnet, Schwaden von Fliegen saßen gleich schwarzen Klumpen auf den ausliegenden Fleischbrocken. Kinder liefen lachend mit Fassreifen durch die von Tierblut rötlich gefärbten Pfützen […].

Eine der Punkte, die ich an diesen Romanen so mag ist das markante Lokalkolorit, also die örtliche Färbung, in diesem Falle von Kaufbeuren.
Aug 25, 2020 07:32AM Add a comment
Die Henkerstochter und der Fluch der Pest (Die Henkertochter, #8)

Matt
Matt is 9% done with Die Henkerstochter und der Fluch der Pest (Die Henkertochter, #8)
»Da vorne sind Soldaten.« Er wies mit dem Finger die staubige Straße entlang. »Sie sagen, dass keiner mehr in die Stadt reindarf, der keinen Pestbrief hat.«
»Einen Pestbrief?«, fragte Magdalena verwundert. »Was soll das sein?«
»Na, einen Wisch, dass man aus einer pestfreien Gegend kommt.«


Heißt heute anders: Siehe hier.
Aug 24, 2020 07:14AM Add a comment
Die Henkerstochter und der Fluch der Pest (Die Henkertochter, #8)

Matt
Matt is on page 353 of 736 of House of Leaves
Mit seinen Nachtmützen und Schlafrockfetzen
Stopft er die Lücken des Weltenbaus.

— Heine³²²

³²² “With his nightcaps and the tatters […] he patches up the gaps in the structure of the universe” — which he quoted in full to his wife, as well as alluded to in Chapter Six of The Interpretation of Dreams and in a letter to Jung dated February 25, 1908.³²³

³²³ Heine?³²⁴

³²⁴ Freud. — Ed.
Jul 25, 2020 09:31AM Add a comment
House of Leaves

Matt
Matt is on page 293 of 736 of House of Leaves
the



r






o









p













e




















   sn-




















                -a-




















                                -ps
Jul 24, 2020 11:52PM Add a comment
House of Leaves

Matt
Matt is on page 245 of 736 of House of Leaves
Taking these words from Johnny Truant as my status update, making them my own, adding another level of "meta"

Ever since leaving the labyrinth, having had to endure all those convolutions, those incomplete suggestions, the maddening departures and inconclusive nature of the whole fucking chapter, I've craved space, light and some kind of clarity. Any kind of clarity.

(and space is what I got in Ch.X)
Jul 24, 2020 06:49AM 4 comments
House of Leaves

Matt
Matt is on page 126 of 736 of House of Leaves
Betting dollars to dumplings that no one in their right mind will read footnote #146 in its entirety, or #147 for that matter on the way back.

Still meandering around chapter IX. Will I ever find my way out of this maze? Not likely. In case you’ll read it yourself one day – Godspeed & good luck, you’ll need it. And if you discover a crumbled skeleton lying there around page 126 or so? That's probably me.
Jul 23, 2020 07:28AM 4 comments
House of Leaves

Matt
Matt is on page 94 of 736 of House of Leaves
[Holloway] makes sure flashlights are all securely mounted on helmets and Hi 8s properly attached to chest harnesses. He personally checks, re-checks, packs, and re-packs all the tents, sleeping bags, thermal blankets, chemical heat packs, food, water, and First-Aid kits.

& lots of other stuff, too, in preparation for "Exploration/Operation #4" ... down the rabbit hole spiral staircase.
Jul 22, 2020 07:12AM 6 comments
House of Leaves

Matt
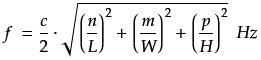
Matt is on page 50 of 736 of House of Leaves
What a piss-poor job of making the formula on p.50
How it looks:


How it should look (took me a min on mathcha.io):


If you want to intimidate your readers you gotta do it right.

Who’s to blame, though?
… Editor at Pantheon Books
… Mark Z. Danielewski
… Johnny Truant’s Ed.
… Johnny Truant
… Zampanò
Jul 21, 2020 03:48AM 4 comments
House of Leaves

Matt
Matt is on page 24 of 736 of House of Leaves
Die Grundbefindlichkeit des Menschen ist die Angst

Reading away, thinking of no evil (well, almost) and then suddenly Heidegger pops up like a Jack-in-the-box; in the original German no less (translated in a footnote), but, unfortunately, with some typos.

Jul 20, 2020 06:02AM Add a comment
House of Leaves

Matt
Matt is 22% done with Stilpe: Ein Roman aus der Froschperspektive (German Edition)
[Diese Martha] hätte zu irgendetwas sehr Unschuldigem Modell stehen können,und wie sie aussah,so stellen sich sämtliche Backfische Fausts Gretchen vor.[…]Professor Thumann hat diesen Typus in die Seele der deutschen Bourgeoisie gemalt,und wir begegnen ihm noch immer auf Wäschekartons, Zigarrenkisten und Glaube-Liebe-Hoffnung-Buntdrucken.

Jul 11, 2020 12:22AM 1 comment
Stilpe: Ein Roman aus der Froschperspektive (German Edition)

Matt
Matt is 2% done with Stilpe: Ein Roman aus der Froschperspektive (German Edition)
Vielleicht bin ich etwas voreilig, aber auf den ersten 5 Seiten habe ich beinahe schon mehr gelacht, als bei der ganzen Lektüre von Klings QualityLand. Wie kann es sein, dass ein Buch, wo gleich zu Beginn schon ein Lepidopterologe (schaut's nach) auf einen Geburtshelfer mit Namen Doktor Schatzheber triff, hier bei GR nur ein miserables Rating von 2.6 bekommt?
Humor ist eben doch eine subjektive Sache.
Jul 10, 2020 07:22AM 6 comments
Stilpe: Ein Roman aus der Froschperspektive (German Edition)

Matt
Matt is on page 200 of 383 of Die Stadt der Sehenden
Der Präsident war blass geworden, wirkte wie ein Putzlappen, den jemand über eine Stuhllehne gehängt, und anschließend vergessen hatte,[…]

Also ich für meinen Teil finde Gefallen an diesem Bild.

Passend dazu:

Jul 07, 2020 05:44AM Add a comment
Die Stadt der Sehenden

Matt
Matt is on page 158 of 383 of Die Stadt der Sehenden
Das Unpraktische an einem Text wie diesem ist, dass wir erst hinterher, nach mühevollem Abschreiben, bemerken, dass der von uns ausgewählte Satz, bei dem jedes Wort wichtig ist und keinesfalls ausgelassen werden darf, am Ende zu lang für eine Statusmeldung ist und daher nun ein Foto herhalten muss.

Jul 06, 2020 08:52AM Add a comment
Die Stadt der Sehenden

Matt
Matt is 36% done with QualityLand
Ob ich nach dem Delfinvibrator jemals wieder das Wort Defibrillator richtig aussprechen werde, steht zu bezweifeln.

Höre auch:
https://www.youtube.com/watch?v=6Qp1o...
Jun 29, 2020 12:11AM 2 comments
QualityLand

Matt
Matt is 25% done with QualityLand
Romeo und Julia FÜR DICH
Der Kinderpornoklassiker schlechthin. Die dreizehnjährige Julia liebt den etwas älteren Romeo aus einer verfeindeten Familie. Heiße Küsse, von Vögeln unterbrochenes Vögeln und am Ende ein geglückter Trick, durch den es in der Familiengruft zum leicht nekrophil angehauchten spritzigen Finale kommt.


Habe wohl mit der dunklen Edition von QualityLand den richtigen Griff getan.
Jun 28, 2020 07:41AM Add a comment
QualityLand

Matt
Matt is 49% done with Desolation Row: Bob Dylans poetischer Brief von 1965
Dylan reißt sich Warhol's Double Silver Elvis unter den Nagel. Nun ja...







Jun 27, 2020 12:54AM Add a comment
Desolation Row: Bob Dylans poetischer Brief von 1965

Matt
Matt is 22% done with Desolation Row: Bob Dylans poetischer Brief von 1965
They’re selling postcards of the hanging...

Ein reales Ereignis von 1920 aus Dylan’s Geburtsort Duluth, nämlich den Lynchmord an drei schwarzen Zirkusarbeitern
Und eine Postkarte gab es sogar auch:
Jun 25, 2020 10:56PM 3 comments
Desolation Row: Bob Dylans poetischer Brief von 1965

Matt
Matt is on page 702 of 781 of Wir Ertrunkenen
Nur selten wagte [sich das Schlachtschiff Tirpitz] aus seinem Versteck zwischen den schützenden Felswänden des Fjords. Stattdessen drohte es wie der angekettete Fenriswolf mit einem Ragnarök, das niemals kam. Aber sie waren überzeugt, dass es nun geschehen würde: Der Fenriswolf würde seine Ketten zerreißen, und sie waren der Köder.

Das letzte und längste Kapitel hat es wirklich in sich.
Jun 21, 2020 07:24AM Add a comment
Wir Ertrunkenen

Matt
Matt is on page 674 of 781 of Wir Ertrunkenen
Seekisten und Seesäcke hatten sie gezwungenermaßen an Bord lassen müssen,dafür gab es im Rettungsboot keinen Platz. Sie besaßen jetzt nur noch das Zeug,das sie am Leib trugen.
Sie hatten ihr Seefahrtsbuch und den Pass, der bewies, das sie zu einer Nation gehörten,die es nicht mehr gab,weil der Krieg sie geschluckt hatte.
Dazu eine Schachtel Zigaretten.
Es ging.


Im 2.WK wurden Dänen als Deutsche betrachtet.
Jun 21, 2020 02:31AM Add a comment
Wir Ertrunkenen

Matt
Matt is on page 551 of 781 of Wir Ertrunkenen
Selten gab es Nachtisch. Und wenn, dann handelte es sich um einen Pudding, der in den Kaffeetassen steif werden durfte und hinterher portionsweise serviert wurde. Dann lag er auf dem Teller und wackelte mit einer kleinen Kuppel, die direkt in eine Hand passte. Die Männer nannten ihn «Nonnenbrüste».

Sagt man das so? "Steif werden"?
Jun 19, 2020 05:45AM 12 comments
Wir Ertrunkenen

Matt
Matt is on page 520 of 781 of Wir Ertrunkenen
So lange irgendjemand denken konnte, hatte es zwei und nur zwei Banden gegeben, die die Stadt unter sich aufteilten. Die Nordbande und die Südbande. Und nun hatten die Jungen in der Niels Juelsgade und der Tordenskjoldsgade angefangen, ihre eigenen Banden zu gründen.

Die Stadt geht allmählich vor die Hunde, wenn schon der Zusammenhalt der Jugendbanden zerfällt.
Jun 18, 2020 07:09AM Add a comment
Wir Ertrunkenen

Matt
Matt is on page 456 of 781 of Wir Ertrunkenen
Sie schauten genau hin, es war die HYDRA, die im September 1917 spurlos auf dem Atlantik verschwunden war [...] Das bedeutete: nie wieder gesehen, nicht eine Leiche, die es zu bergen und zu begraben gab, nicht einmal ein Rettungsring mit dem Namen darauf, gar nichts.



Und nur 1 Eintrag hier.
Jun 17, 2020 07:39AM Add a comment
Wir Ertrunkenen

Matt
Matt is on page 381 of 781 of Wir Ertrunkenen
James Cooks Geschichte besaß eine Moral, glaubte [Albert]. Doch je länger er darüber nachdachte, desto größer wurden seine Zweifel, worin diese Moral eigentlich bestand.


(James Cook - vorher / nachher (Symbolbild))
Jun 16, 2020 06:07AM Add a comment
Wir Ertrunkenen

Matt
Matt is on page 322 of 781 of Wir Ertrunkenen
Nun blieben [die Seeleute] fort, einer nach dem anderen, und die Frauen mussten auch diesen Teil der Männerarbeit übernehmen. Als das Frühjahr kam, sahen wir sie schon bald mit einem Teerpinsel streichen, der so schwarz war wie ihre frisch genähten Witwenkleider.

Der 1.WK fordert vom neutralen Dänemark Tribut. Zum Ausgleich entwickeln sich Frachtmarkt & Schiffspreise prächtig und Geld strömt in die Stadt.
Jun 15, 2020 05:49AM Add a comment
Wir Ertrunkenen

« previous 1 3 4 5 6 7 8 9 57 58
Follow Matt's updates via RSS